北京梦雨楼论坛,栖凤楼茶楼论坛详情海口龙凤茶楼论坛网,一品香论坛,快活林凤楼品茶论坛内容有效性

ÊÖ»úɨÂ룬΢ÐÅ×Éѯ!

Ò½ÓÃXÉäÏßÖÎÁÆÎÀÉú·À»¤±ê×¼-¸öÈ˼ÁÁ¿¼à²âÒÇ,¸öÈË·øÉä²âÁ¿ÒÇÆ÷,±ãЯʽ·øÉä¼ÁÁ¿ÒÇ,¸öÈËÉäÏß±¨¾¯ÒÇ,ÉäÏß¼ÁÁ¿ÂÊÒÇ_ɽÎ÷_½úÖÐ

µç»°£º86-021-69515711
´«Õ棺86-021-69515712

³ÉÏÈÉú-ÉϺ£ÈÊÈÕ·øÉä·À»¤ ¿Í·þ

ÁªÏµÎÒÃÇ
¹Ø×¢£ºÈÊÈտƼ¼
¹Ø×¢ÈÊÈտƼ¼;»ñÈ¡·øÉä·À»¤ÖªÊ¶£¡
ÍÆ¼ö²úÆ·
  •   REN710 ÉäÏß±¨¾¯Æ÷

           REN710ÐÍÐÐÈËͨµÀʽ¦ÃÉäÏß°²¼ìÃÅÊÇרΪÐÐÈËÉè¼ÆµÄ¡¢ÓÃÓÚ¼ì²â·ÅÉäÐÔÎïÖʵÄÃÅʽ¼ì²âϵͳ£¬ËüΪÐÐÈË·Ç·¨Ð¯´ø·ÅÉäÐÔÎïÖʼ°ÌØÊâºË²ÄÁÏÌṩ¿ìËÙ¼ì²âÊֶΣ¬Äܹ»Îªº£¹Ø¡¢»ú³¡¡¢ÂëÍ·¡¢»ð³µÕ¾¡¢Ò½Ôº¡¢±ß¾³¼ì²é¡¢ÖØÒª»áÒ鳡Ëù°²È«¼ì²éÌṩ°ïÖú¡£ÊǺË

  •   REN800A Ù¤ÂíÖÐ×ÓÒÇ

    REN800AÐÍÖÐ×Ó¡¢X¡¢¦Ã·øÉäÖÜΧ¼ÁÁ¿µ±Á¿(ÂÊ)ÒÇÄÚÖÃÒ»¸ö½ø¿ÚHe-3¹ÜºÍÒ»¸öGM¹Ü×÷Ϊ̽²âÆ÷£¬ÄÜͬʱ¼ì²âÖÐ×ÓºÍX¡¢¦ÃÉäÏß¡£¸ÃÒÇÆ÷ʹÓ÷½±ã£»ÁéÃô¶È¸ß¡¢¿¹¦ÃÐÔÄܺá¢ÄÜÁ¿ÏìÓ¦ÌØÐԺᣴËÍâͨ¹ýÅäÌ×µÄRenRiRate·øÉä¼ÁÁ¿¹ÜÀíÈí¼þ¿É½«´æ´¢µÄÊý¾Ý¶Á³öºó·ÖÎö¡£¸ÃÒÇÆ÷ÊÊÓÃÓÚ»·±£¡¢»¯¹¤¡¢Ë®Äࡢú¿ó¡¢ÍÁľ¹¤³Ì¡¢

  •   REN500E ±ãЯʽ±¨¾¯ÒÇ

         REN500EÐÍX¡¢¦Ã·øÉä¼ÁÁ¿ÂÊÒÇÊÇÒÔÄÚÖøßÁéÃô¶È¸Ç¸ñ¼ÆÊý¹ÜΪ̽²âÆ÷£¬²âÁ¿¦Ö¡¢¦ÃºÍÓ²¦Â·øÉäµÄ¶à¹¦ÄܱãЯʽ¼ÁÁ¿ÂÊÒÇ¡£×÷Ϊ·øÉäѲ²âÒÇ£¬ÄÜÏÔʾ¹¤×÷³¡ËùµÄ¼ÁÁ¿µ±Á¿ÂʺÍÀÛ»ý¼ÁÁ¿£¬×Ô¶¯Á¬Ðø²âÁ¿ºÍ¼Ç¼1600Ìõ·øÉä¼ÁÁ¿ÂÊÊý¾Ý£¬¸ü»»µç³ØÊ±£¬ÈÕÀú¡¢Ê±¼ä¼°¼ì²âÊý¾ÝÄÜÓÀ¾Ã

  •   REN300A ¹Ì¶¨Ê½ÉäÏß±¨¾¯ÒÇ

      REN300AÔÚÏß·øÉ䰲ȫ±¨¾¯ÒÇÊÇÒ»ÖÖÐÂÐ͵Äx-¦Ã·øÉäÁ¬Ðø¼à²â±¨¾¯×°Öã¬Ëü²ÉÓÃÌØÊâÉè¼ÆµÄǰÖ÷Ŵóµç·£¬¾ßÓÐÁéÃô¶È¸ß¡¢²Ù×÷·½±ã¡¢×Ô¶¯ÏÔʾºÍ³¬ãÐÖµ±¨¾¯µÈÌØµã£¬ÄÜʵʱ¸ø³öx¦Ã·øÉä¼ÁÁ¿ÂÊ£»ÒÇÆ÷ÄÚÖú£Á¿Êý¾Ý´æ´¢¹¦ÄÜ£¬ÄÜ´æ´¢10ÄêµÄÀúÊ·Êý¾ÝÇÒ±êÅäÌṩǿ´óµÄRenLocal·øÉä¼à²âÊý¾Ý·ÖÎöÈí¼þ¡£¿¼ÂÇ

  •   REN-2GM-H GM¹Ü¸ßÁ¿³ÌÉäÏß̽ͷ

          RENϵÁÐÖÇÄÜ»¯·øÉä̽ͷ¾ù¿ÉºÍREN300¡¢REN300A¡¢REN300BϵÁÐÖ÷»úÅäÌ×ʹÓÃ,Ò²¿ÉÒÔµ¥¶ÀÅäÌ×RenRiArea·øÉäÇøÓò¼à²âÈí¼þʹÓá£ÇÒ¾ßÓÐRS485/RS232µÄͨѶÄÜÁ¦¡£ËùÓÐ̽ͷ¾ù¿Éµ¥¶ÀÍâ½Ó±¨¾¯µÆ£¬ÔÚ³¬ãÐÖµµÄÇé¿öϾ͵ظø³ö

  •   ·øÉä¾¯Ê¾ÅÆ µçÀë·øÉ侯¸æ±êÖ¾

    ²ÄÁÏ£º PVCËÜÁÏ   ²»¸É½º  ¹æ¸ñ£º 25 ¡Á 30cm ˵Ã÷£ºµçÀë·øÉ侯¸æ±êÖ¾µÄº¬ÒåÊÇʹÈËÃÇ×¢Òâ¿ÉÄÜ·¢ÉúµÄΣÏÕ¡£Æä±³¾°Îª»ÆÉ«£¬ÕýÈý½ÇÐα߿ò¼°µçÀë·øÉä±ê־ͼÐξùΪºÚÉ«£¬¡°µ±ÐĵçÀë·øÉ䡱ÓúÚÉ«´ÖµÈÏßÌå×Ö¡£±êÅÆµÄ³ß´ç¡¢ÐÎ×´ºÍÑÕÉ«¼°ÎÄ×ÖÃèÊöÑϸñ°´¡¶GB 18871-200

  •   REN300 ÉäÏß±¨¾¯Æ÷

      REN300ÔÚÏßx-¦Ã·øÉ䰲ȫ±¨¾¯ÒÇÊÇÒ»ÖÖÐÂÐ͵Äx-¦Ã·øÉäÁ¬Ðø¼à²â±¨¾¯×°Öã¬Ëü²ÉÓÃÌØÊâÉè¼ÆµÄǰÖ÷Ŵóµç·£¬¾ßÓÐÁéÃô¶È¸ß¡¢²Ù×÷·½±ã¡¢×Ô¶¯ÏÔʾ¡¢Êý¾Ý´æ´¢ºÍ³¬ãÐÖµ±¨¾¯µÈÌØµã£¬ÄÜʵʱ¸ø³öx¦Ã·øÉä¼ÁÁ¿ÂÊ¡£¿¼Âǵ½ÏÖ³¡²Ù×÷¡¢Ó¦¼±¿ìËÙÏìÓ¦µÄÐèÒª£¬Ö÷»ú°²×°ÔÚ·øÉäÏÖ³¡£¬ÊµÏÖʵʱ¼à²âÓë¾ÍµØ±¨¾¯£¬Í¨¹ýRS48

  •   RenriDecayPool ¹Ì¶¨Ê½ÔÚÏß·øÉä¼à²â±¨¾¯ÒÇ

         ΪÁ˼ÓÇ¿¶Ô·ÅÉäÐÔ·ÏÒºÅŷŵļල¹ÜÀí£¬±£ÕÏÈËÌ彡¿µ£¬±£»¤»·¾³£¬¸ù¾Ý¡¶ÖлªÈËÃñ¹²ºÍ¹ú·ÅÉäÐÔÎÛȾ·ÀÖη¨¡·¡¶µçÀë·øÉä·À»¤Óë·øÉäÔ´°²È«»ù±¾±ê×¼¡·¡¶ Ò½Ó÷ÅÉäÐÔ·ÏÎïµÄÎÀÉú·À»¤¹ÜÀí¡·µÈÏà¹Ø·¨¹æÓë±ê×¼µÄÒªÇ󣬿¼ÂÇÈËΪ²Ù×÷ʧÎó¼°·ÅÉäÐÔ·ÏÒº´íÎóÅŷźó¿ÉÄÜÒý·¢µÄÑÏÖØ»·¾³Î£

±ê×¼Óë·¨¹æ

Ò½ÓÃXÉäÏßÖÎÁÆÎÀÉú·À»¤±ê×¼

2006/11/1 9:46:00

ǰÑÔ

    ±¾±ê×¼µÄµÚ3¡«7ÕÂÎªÇ¿ÖÆÐԵ쬯äÓàÎªÍÆ¼öÐԵġ£
    ¸ù¾Ý¡¶ÖлªÈËÃñ¹²ºÍ¹úÖ°Òµ²¡·ÀÖη¨¡·Öƶ¨±¾±ê×¼£¬Ô­±ê×¼GB18464-2001Óë±¾±ê×¼²»Ò»ÖµÄ£¬ÒÔ±¾±ê׼Ϊ׼¡£
    ±¾±ê×¼¹æ¶¨ÁËÒ½ÓÃXÉäÏßÖÎÁÆ»úµÄ·øÉä·À»¤ÐÔÄÜ¡¢ÖÎÁÆ»úʹÓó¡ËùµÄ·øÉä·À»¤Ìõ¼þºÍʹÓÃÖÎÁÆ»úʵʩ·ÅÉäÖÎÁƵķøÉä·À»¤Ó밲ȫµÄ¼¼ÊõÒªÇó¡£
    ±¾±ê×¼ÓÉÖлªÈËÃñ¹²ºÍ¹úÎÀÉú²¿Ìá³ö²¢¹é¿Ú¡£
    ±¾±ê×¼Æð²Ýµ¥Î»:±±¾©ÊзÅÉäÎÀÉú·À»¤Ëù¡£
    ±¾±ê×¼Ö÷ÒªÆð²ÝÈË:Íõʱ½ø¡¢ÂíÓÀÖÒ¡£
    ±¾±ê×¼ÓÉÖлªÈËÃñ¹²ºÍ¹úÎÀÉú²¿¸ºÔð½âÊÍ¡£

Ò½ÓÃXÉäÏßÖÎÁÆÎÀÉú·À»¤±ê×¼

Standards for radiological protection in medical X-ray therapy

GBZ131-2002


1 ·¶Î§
   
±¾±ê×¼¹æ¶¨ÁËÒ½ÓÃXÉäÏßÖÎÁÆ»úµÄ·øÉä·À»¤ÐÔÄܼ°Æä¼ìÑéÒªÇó¡¢ÖÎÁÆÊҵķøÉä·À»¤Ìõ¼þºÍʹÓÃÖÎÁÆ»úʵʩ·ÅÉäÖÎÁƵݲȫ²Ù×÷ÓëÖÊÁ¿±£Ö¤ÒªÇó¡£
    ±¾±ê×¼ÊÊÓÃÓÚ±ê³ÆXÉäÏ߹ܵçѹΪ10kV¡«1MVµÄÒ½ÓÃXÉäÏßÖÎÁÆ»ú(ÒÔϼò³ÆÖÎÁÆ»ú)µÄÉú²úºÍʹÓá£
    ±¾±ê×¼²»ÊÊÓÃÓÚÒ½ÓüÓËÙÆ÷µÄXÉäÏßÖÎÁÆ¡£
2 ¹æ·¶ÐÔÒýÓÃÎļþ
   
ÏÂÁÐÎļþÖеÄÌõ¿îͨ¹ý±¾±ê×¼µÄÒýÓöø³ÉΪ±¾±ê×¼µÄÌõ¿î¡£·²ÊÇ×¢ÈÕÆÚµÄÒýÓÃÎļþ£¬ÆäËæºóËùÓеÄÐ޸ĵ¥(²»°üÀ¨¿±ÎóµÄÄÚÈÝ)»òÐÞ¶©°æ¾ù²»ÊÊÓÃÓÚ±¾±ê×¼£¬È»¶ø£¬¹ÄÀø¸ù¾Ý±¾±ê×¼´ï³ÉЭÒéµÄ¸÷·½Ñо¿ÊÇ·ñ¿ÉÊÊÓÃÕâЩÎļþµÄ×îа汾¡£·²²»×¢ÈÕÆÚµÄÒýÓÃÎļþ£¬Æä×îа汾ÊÊÓÃÓÚ±¾±ê×¼¡£
    GB9706.10 Ò½ÓõçÆ÷É豸 µÚ¶þ²¿·Ö:ÖÎÁÆXÉäÏß·¢Éú×°Öð²È«×¨ÓÃÒªÇó¡£
    GB9706.12 Ò½ÓõçÆ÷É豸 µÚÒ»²¿·Ö:°²È«Í¨ÓÃÒªÇóÈý²¢Áбê×¼:Õï¶ÏXÉäÏßÉ豸·øÉä·À»¤Í¨ÓÃÒªÇó¡£
3 ×ÜÔò
3.1 Ò½ÓÃXÉäÏßÖÎÁƱØÐë×ñÑ­·ÅÉä·À»¤»ù±¾Ô­Ôò£¬ÒªÇóÕÕÉäÕýµ±»¯£¬·øÉä·À»¤×îÓÅ»¯£¬²¢Ê¹¹¤×÷Õߺ͹«ÖÚµÄÊÜÕÕ²»³¬¹ý¹æ¶¨µÄ¼ÁÁ¿ÏÞÖµ;»¼ÕßËùÊܵÄÒ½ÁÆÕÕÉ䣬Ӧ×ñѭʵ¼ùµÄÕýµ±ÐԺͷÀ»¤µÄ×îÓÅ»¯Ô­Ôò¡£
3.2 Ò½ÓÃXÉäÏßÖÎÁƱØÐë²ÉÈ¡°²È«´ëÊ©£¬¾¡¿ÉÄܼõÉÙ»ò±ÜÃâµ¼ÖÂÖØ´óÕÕÉäʼþµÄ·¢Éú¼°²»Á¼ºó¹û¡£
4 ÖÎÁÆ»ú·À»¤ÐÔÄܵļ¼ÊõÒªÇó
4.1 ÖÎÁÆ»úй©·øÉäµÄÏÞÖÆ
4.1.1 ÖÎÁÆ×´Ì¬Ï£¬XÉäÏßÔ´×é¼þµÄй©·øÉäÓ¦°´±í1¿ØÖÆ¡£

¡¡

±í1  ÖÎÁÆ×´Ì¬ÏÂXÉäÏßÔ´×é¼þ1)й©·øÉä¿ØÖÆÖµ

XÉäÏ߹ܶµçѹ£¬kV

¿ÕÆø±ÈÊͶ¯ÄÜÂÊ¿ØÖÆÖµ,mGy/h

>150

¾àÔ´×é¼þ±íÃæ5Omm 300

 

¾àXÉäÏ߹ܽ¹µã1m  10

¡Ü150

¾àXÉäÏ߹ܽ¹µã1m  1

¡Ü502)

¾àÔ´×é¼þ±íÃæ5Omm  1

×¢: 1)XÉäÏßÔ´×é¼þ°üÀ¨¹Ì¶¨°²×°ÔÚXÉäÏß¹ÜÌ×ÉϵÄÏÞÊøÆ÷
2)ÊÊÓÚ¿ÉÊÖ³ÖµÄÖÎÁÆ»ú


4.1.2 ·ÇÖÎÁÆ×´Ì¬Ï£¬XÉäÏßÔ´×é¼þµÄй©·øÉäºÍ·ÇÓÐÓ÷øÉäµÄ¿ØÖÆÖµ
    µ±XÉäÏßÔ´´¦ÓÚÒÔÊÖ¶¯ÖжÏÖÎÁƶøXÉäÏ߹ܸßѹÈÔͨµç£¬»òÔ¤¶¨µÄÖÎÁÆÖÕÖ¹ÇÒXÉäÏ߹ܸßѹ¶ÏµçµÄ·ÇÖÎÁÆ×´Ì¬Ê±£¬×ÔÖжϻòÖÕÖ¹·øÉäÊø·¢Éäºó5s¿ªÊ¼£¬¿ÕÆø±ÈÊͶ¯ÄÜÂÊ¿ØÖÆÖµ:ÔÚ¾àXÉäÏ߹ܽ¹µã1m(°üÀ¨ÖÎÁÆÊø·½Ïò)´¦£¬²»µÃ³¬¹ý0.02mGy/h;ÔÚ¾àXÉäÏßÔ´×é¼þ±íÃæ50mm´¦£¬²»µÃ³¬¹ý0.2mGy/h¡£
4.1.3 ¿ÉжʽÏÞÊøÆ÷µÄй©·øÉä¿ØÖÆË®Æ½
    ¿ÉжʽÏÞ¼íÆ÷½öÖ¸Ö±½ÓÓëXÉäÏß¹Ü×é¼þÁ¬½Óµ«¿É²ðжµÄ¼¯¹âͲ»ò¿Éµ÷ÏÞÊøÆ÷µÄÕûÌå¹Ì¶¨²¿·Ö¡£ÔÚ¿ÉжʽÏÞÊøÆ÷³ö¿ÚÕÕÉäÒ°È«ÆÁ±ÎÌõ¼þÏ£¬ÏÞÊøÆ÷ÕÕÉäÒ°ÍâµÄÏà¶Ô¿ÕÆø±ÈÊͶ¯ÄÜÂʲ»µÃ³¬¹ý±í2µÄ¿ØÖÆË®Æ½¡£

±í2 ¿ÉжÏÞÊøÆ÷µÄÏà¶Ôй©·øÉä¿ØÖÆË®Æ½

ÏÞÊøÆ÷³öÏ߿ڴ¦ÆÁ±ÎǦ°åµÄ³ß´çΪÕÕÉäÒ°ºá(×Ý)ÏòÏàÓ¦³ß´çµÄ±¶Êý

¿ÉжÏÞÊøÆ÷µÄÏà¶Ôй©·øÉä1)¿ØÖÆË®Æ½,%

1.5±¶

1.1±¶

0.5

2

×¢:1)ÔÚ¾àǦ°å±ßÔµ20mmÒÔÍâÈκÎλÖõÄ×î´ó¿ÕÆø±ÈÊͶ¯ÄÜÂÊÕ¼Í¬Ò»Æ½ÃæÉÏÎÞǦ°åʱÉäÏßÊøÖе㴦¿ÕÆø±ÈÊͶ¯ÄÜÂʵİٷÖÊý

4.1.4 ³ýXÉäÏßÔ´×é¼þÍâÆäÓಿ¼þµÄй©·øÉä¿ØÖÆÖµ
    ³ýXÉäÏßÔ´×é¼þÍ⣬¾àXÉäÏß»úµÄÈÎÒ»²¿¼þ±íÃæ50mm µÄÈκÎλÖÃÉÏ£¬¿ÕÆø±ÈÊͶ¯ÄÜÂʲ»µÃ³¬¹ý0.02mGy/h¡£
4.2 ÓëÓÐÓÃÏßÊø·øÉäÊä³öÁ¿Ïà¹ØµÄ¼¼ÊõÒªÇó
4.2.1 ÀÛ»ý·øÉäÊä³öÁ¿µÄÖØ¸´ÐÔ
    ÕÕÉäÒ°ÄÚÓÐÓÃÏßÊøÀÛ»ý¿ÕÆø±ÈÊͶ¯ÄܵÄÖØ¸´ÐÔÓ¦²»´óÓÚ5%(XÉäÏ߹ܵçѹ¡Ü150kV)ºÍ3%(XÉäÏ߹ܵçѹ>150kV)¡£
4.2.2 ÀÛ»ý·øÉäÊä³öÁ¿µÄÏßÐÔ
    ÕÕÉäÒ°ÄÚÓÐÓÃÏßÊøÀÛ»ý¿ÕÆø±ÈÊͶ¯ÄܵķÇÏßÐÔÓ¦²»´óÓÚ5%¡£
4.3 ÖÎÁÆ»ú¿ØÖÆÌ¨
    ¿ØÖÆÌ¨Ó¦¾ßÓÐÏÂÁа²È«¿ØÖÆÉ豸:
    (1)Ö÷µçÔ´Ëø¡£
    (2)Ô¤ÖõÄÕÕÉäÌõ¼þµÄÈ·ÈÏÉ豸¡£
    (3)ÔÚÈ·ÈÏÕÕÉäÌõ¼þÎÞÎóºóÆô¶¯ÕÕÉäµÄÉ豸¡£
    (4)ÔÚ½ô¼±Çé¿öÏÂÖжÏÕÕÉäµÄÉ豸¡£
    (5)·øÉ䰲ȫÓëÁªËø×°ÖÃ(Ïê¼ûµÚ4.5Ìõ)¡£
4.4 ¼ÆÊ±Æ÷ºÍ¼ÁÁ¿¼à²âÒÇ
    ÖÎÁÆ»úµÄ¼ÆÊ±Æ÷ºÍ¼ÁÁ¿¼à²âÒÇ£¬Ó¦ÄÜ·ÀÖ¹×Ô¶¯ÖÕÖ¹ÕÕÉäµÄÒâÍâ¹ÊÕÏ£¬ÆäÒªÇóÈçÏÂ:
    (1)µ±ÖÎÁÆ»úͬʱÉèÓмÆÊ±Æ÷(Á½Ì¨)»ò¼ÁÁ¿¼à²âÒÇ(Á½Ì¨)ʱ£¬±ØÐëÒÔ²¢ÁлòÖ÷/´Î×éºÏ·½Ê½ÅäÖá£ÆäÖÐÿһ̨±ØÐëÄܹ»¶ÀÁ¢ÖÕÖ¹ÕÕÉä¡£
    (2)µ±´ïµ½Ô¤ÖÃֵʱ£¬²¢ÁÐ×éºÏµÄÁ½Ì×ϵͳ»òÖ÷/´Î×éºÏµÄÖ÷ϵͳ±ØÐëÖÕÖ¹ÕÕÉä¡£ÒòÖ÷´Î×éºÏµÄÖ÷ϵͳ¹ÊÕÏδÖÕÖ¹ÕÕÉä²¢³¬¹ýÁËÔ¤ÖÃÖµµÄ10%£¬»ò¼ÆÊ±Æ÷³¬¹ý0.1min£¬»ò¼ÁÁ¿¼à²âÒÇÔÚÏàÓ¦±ê³Æ¾àÀë´¦µÄÎüÊÕ¼ÁÁ¿³¬¹ý0.1Gyʱ£¬´Î¼¶ÏµÍ³±ØÐëÁ¢¼´ÖÕÖ¹ÕÕÉä¡£
4.5 ·øÉ䰲ȫÓëÁªËøÒªÇó
4.5.1 ÖÎÁÆ»ú±ØÐë¾ßÓа²È«É豸£¬µ±³öÏÖµÚ4.5.2-4.5.5ÌõÖÐÈκÎÒ»Ïî´íÎó»ò¹ÊÕÏʱ£¬ÄÜÖжÏÕÕÉ䣬²¢ÓÐÏàÓ¦¹ÊÕÏÏÔʾ¡£
4.5.2 ¶ÔXÉäÏßÔ´×é¼þÒÆ¶¯É豸¹ÊÕϵı£»¤
    ÖÎÁÆ»úÕÕÉäʱ£¬XÉäÏßÔ´×é¼þÏà¶Ô»¼ÕßµÄÒÆ¶¯É豸ÔÚÖ´ÐÐÔ¤ÖõÄÒÆ¶¯Ö¸Áî¹ý³ÌÖУ¬Êܵ½¿¨¡¢×è»ò·¢ÉúÆäËüÒÆ¶¯¹ÊÕÏʱ£¬Ó¦Óɱ£»¤Éè±¸Ç¿ÖÆ×Ô¶¯ÖжÏÕÕÉä¡£
4.5.3 ·ÀÖ¹XÉäÏß¹ÜͨµçʱÎóÕÕÉä
    ´ËÏîÉ豸¿ÉÒÔÊÇ·øÉäÎüÊÕ²¿¼þ(Èç¿ìÃÅ)£¬Æä¹¤×÷Ó¦µ±:
    (1)ÈôÎüÊÕ²¿¼þ¹¤×÷²»Õý³££¬²»¿ÉÄÜʹXÉäÏß¹Üͨµç¡£
    (2)µ±XÉäÏß¹Üͨµçʱ£¬ÎüÊÕ²¿¼þ³öÏÖ¹ÊÕÏÓ¦µ¼ÖÂXÉäÏ߹ܶϵç¡£
    (3)µ±·øÉäÊøÍ£Ö¹·¢Éäʱ£¬ÎüÊÕ²¿¼þÓ¦¹¤×÷µ½Î»¡£
4.5.4 ·ÀÖ¹×éºÏÕÕÉäÌõ¼þÎóÖÃʱÎóÕÕÉä
    ×éºÏÕÕÉäÌõ¼þ°üÀ¨XÉäÏ߹ܵçѹ¡¢XÉäÏ߹ܵçÁ÷¡¢¹Ì¶¨Ó븽¼Ó¹ýÂË¡¢ÏÞÊøÆ÷(¿Éµ÷ÏÞÊøÆ÷»ò¼¯¹âͲ)£¬ÒÔ¼°XÉäÏßÔ´×é¼þÒÆ¶¯É豸µÈÓ벡ÈËÖÎÁÆÏà¹ØµÄÖîÕÕÉäÌõ¼þµÄ×éºÏ¡£
    ¿ØÖÆÌ¨ÉèÖõÄ×éºÏÕÕÉäÌõ¼þÓÐÏÂÁÐÇé¿ö֮һʱ£¬ÖÎÁÆ»ú²»ÄÜÊä³ö·øÉä:
    (1)ûÓа´ÖÎÁƼƻ®Ô¤Öá£
    (2)Ô¤Öó¬¹ýÁËÉ豸µÄÐÔÄÜÖ¸±ê¡£
    (3)Ô¤ÖÃÌõ¼þ²»ÕýÈ·(Èç¹ýÂËÆ÷¡¢ÏÞÊøÆ÷°²·ÅλÖò»µ±»ò°²·Å·½Ïò´íÎó)¡£
    (4)µ±×éºÏÕÕÉäÌõ¼þÄܹ»ÔÚÖÎÁÆÊÒÄÚºÍÖÎÁÆÊÒÍâµÄ¿ØÖÆÌ¨ÉèÖÃʱ£¬¿ØÖÆÌ¨µÄÉèÖÃÓë»úÅÔµÄÉèÖò»Ò»Ö¡£
    (5)Ô¤ÖÃδ¾­¿ØÖÆÌ¨È·ÈϼìÑé¡£
4.5.5 ·ÀÖ¹ÈËÔ±ÎóÈëÖÎÁÆÊÒ
    ÖÎÁÆÊҵķÀ»¤ÃűØÐëÓëÖÎÁÆ»úµÄ¹¤×÷״̬ÁªËø£¬Ö»ÓйرÕÖÎÁÆÊÒÃÅʱ²ÅÄÜÕÕÉä;ÔÚÖÎÁÆ»úÕÕÉä״̬ÏÂÒâÍ⿪Æô·À»¤ÃÅÔòÖжÏÕÕÉä¡£Ó¦µ±²ÉȡԤ·À´ëÊ©£¬·ÀÖ¹ÕÕÉäÖÐÒâÍ⿪Æô·À»¤ÃÅ£¬ÇÒ´ËʱÔÚ¿ØÖÆÌ¨Ó¦ÓÐÏàÓ¦ÏÔʾ¡£
4.6 ·øÉäÊø·¢ÉäµÄÆô¶¯ÓëÖÐÖ¹
    (1)Õý³£Çé¿öÏ£¬±ØÐ밴˳ÐòÉèÖõÚ4.5.4ÌõËùÊöµÄ×éºÏÌõ¼þ£¬²¢¾­¿ØÖÆÌ¨È·ÈÏÑéÖ¤ÉèÖÃÎÞÎóʱ£¬ÓÉ"Æô¶¯"¼üÆô¶¯ÕÕÉä¡£ÔÚÍê³ÉÔ¤ÖõÄÕÕÉäºó×Ô¶¯ÖÕÖ¹ÕÕÉä¡£
    (2)Õý³£Çé¿öÏ£¬Ôٴη¢Éä·øÉäÊø£¬±ØÐë°´ÉÏÊö²½ÖèÖØÐÂÉèÖÃÓë²Ù×÷¡£
    (3)ÔÚÒì³£Çé¿öÏ£¬ÓɵÚ4.5ÌõµÄ°²È«É豸ÖжÏÕÕÉä¡£´Ëʱ£¬±ØÐëÔÚÅųý¹ÊÕϲ¢ÔÚ¿ØÖÆÌ¨"¸´Ô­"ºó²Å¿ÉÓÉ"Æô¶¯"¼üÆô¶¯ÕÕÉ䣬¼ÌÐøÍê³ÉÔ­Ô¤ÖõÄÕÕÉä;»òÕßÔÚÖØÐÂÉèÖúó²ÅÄÜÔÙ´ÎÆô¶¯ÕÕÉä¡£
4.7 ÊÖ³ÖÖÎÁÆ»úµÄÌØÊâÒªÇó
    (1)ÖÎÁÆ»úµÄXÉäÏß¹Ü±ê³Æµçѹ²»µÃ´óÓÚ50kV¡£
    (2)XÉäÏß¹Ü×é¼þ³ýÊÖ³ÖÍ⻹ӦÓÐÆäËüµÄ¹Ì¶¨·½·¨¡£
    (3)Ö»ÄÜÓÉÊÖ³ÖXÉäÏß¹Ü×é¼þµÄ¹¤×÷ÈËÔ±¿ØÖÆXÉäÏ߹ܵÄͨµç¡£
    (4)±ØÐë¾ßÓбíÕ÷XÉäÏß¹ÜͨµçµÄÉùÏìºÍµÆ¹â¾¯¸æÐźš£
    (5)ÖÎÁÆ»ú±ØÐëÅ䱸¸öÈË·À»¤ÓÃñ×Ó¡¢ÊÖÌ׺ÍΧȹ£¬Æä¶ÔXÉäÏßµÄË¥¼õ²»Ð¡ÓÚ0.25mmǦµ±Á¿£¬²¢ÔÚËæ»úÎļþÖиø³öÌáÐѲÙ×÷ÕßʹÓÃÕâЩ·À»¤ÓÃÆ·µÄÒªÇó¡£
4.8 ²¿¼þ¹æ¸ñ±êʶºÍËæ»úÎļþ
4.8.1 ²¿¼þ¹æ¸ñ±êʶ
    ÖÎÁÆ»ú¼°Æä²¿¼þ±ØÐë¾ßÓÐÀιÌ¡¢ÇåÎúÒ×ÈϵÄÏÂÁбêʶ:
    (1)ÔÚXÉäÏßÔ´×é¼þ±íÃæ£¬±êʶ³ö½¹µãµÄλÖú͹̶¨¹ýÂ˵IJÄÁÏÓëºñ¶È¡£
    (2)¿Éж¸½¼Ó¹ýÂËÆ÷µÄ²ÄÁÏ¡¢ºñ¶È¡¢²åÈë·½Ïò±ê¼Ç¼°²åÈëºóµÄ¹¤×÷״ָ̬ʾ¡£
    (3)ÖÎÁÆÊø¼¯¹âͲԶ¶Ë³ö¿ÚÕÕÉäÒ°µÄ±ê³Æ³ß´çºÍ½¹µãµ½Ô¶¶ËµÄ¾àÀë¡£
    (4)¿Éµ÷ÏÞÊøÆ÷ÕÕÉäÒ°µÄ³ß´çºÍ±ê³Æ½¹Æ¤¾àµÄָʾ¡£
    (5)·À»¤É豸¸¨¼þ¶ÔXÉäÏßË¥¼õµÄµ±Á¿ºñ¶È»òË¥¼õÒò×Ó¡£
4.8.2 Ëæ»úÎļþ
    ÖÎÁÆ»úµÄËæ»úÎļþ±ØÐë·ûºÏGB9706.10µÄÒªÇó¡£
4.9 ÕÕÉäÒ°¼°ÆäËü
    ÕÕÉäÒ°¼°ÆäËüÓ¦·ûºÏGB9706.12ÖпÉÊÊÓõķøÉä·À»¤Í¨ÓÃÒªÇó¡£
5 ÖÎÁÆÊҵķÀ»¤ÒªÇó
5.1 ÖÎÁÆÊÒµÄÉèÖñØÐë³ä·Ö¿¼ÂÇÖÜΧµØÇøÓëÈËÔ±µÄ°²È«£¬Ò»°ã¿ÉÒÔÉèÔÚ½¨ÖþÎïµ×²ãµÄÒ»¶Ë¡£50kVÒÔÉÏÖÎÁÆ»úµÄÖÎÁÆÊÒ±ØÐëÓë¿ØÖÆÊÒ·Ö¿ª¡£ÖÎÁÆÊÒÒ»°ãÓ¦²»Ð¡ÓÚ24m2¡£ÊÒÄÚ²»µÃ·ÅÖÃÓëÖÎÁÆÎ޹صÄÔÓÎï¡£
5.2 ÖÎÁÆÊÒÓÐÓÃÏßÊøÕÕÉä·½ÏòµÄǽ±Ú°´Ö÷ÉäÏ߯Á±ÎÒªÇóÉè¼Æ£¬ÆäÓà·½ÏòµÄ½¨ÖþÎﰴ©ÉäÏß¼°É¢ÉäÏ߯Á±ÎÒªÇóÉè¼Æ¡£
5.3 ÖÎÁÆÊÒ±ØÐëÓй۲ìÖÎÁƵÄÉ豸(È繤ҵµçÊÓ»ò¹Û²ì´°)¡£¹Û²ì´°Ó¦ÉèÖÃÔÚ·ÇÓÐÓÃÏßÊø·½ÏòµÄǽÉÏ£¬²¢¾ßÓÐͬ²àǽµÄÆÁ±ÎЧ¹û¡£
5.4 ÖÎÁÆÊÒÄÚµÄÊÊÒËλÖã¬Ó¦×°É蹩½ô¼±Çé¿öʹÓõÄÇ¿ÖÆÖÐÖ¹·øÕÕµÄÉ豸¡£
5.5 ÖÎÁÆÊÒÃŵÄÉèÖÃÓ¦±Ü¿ªÓÐÓÃÏßÊøµÄÕÕÉä¡£ÎÞÃÔµÀµÄÖÎÁÆÊÒÃűØÐëÓëͬ²àǽ¾ßÓеÈͬµÄÆÁ±ÎЧ¹û¡£
5.6 ÖÎÁÆÊÒÄÚÃÅÅÔÓ¦Óпɹ©Ó¦¼±¿ªÆôÖÎÁÆÊÒÃŵIJ¿¼þ¡£
5.7 ÖÎÁÆÊÒÃűØÐë°²×°µÚ4.5.5ÌõÁªËøÉ豸£¬ÃÅÍâ½ü´¦Ó¦ÓÐÐÑÄ¿µÄÕÕÉä״ָ̬ʾµÆºÍµçÀë·øÉ侯¸æ±êÖ¾¡£
5.8 ÖÎÁÆÊÒÒª±£³ÖÁ¼ºÃµÄͨ·ç¡£µçÀ¡¢¹ÜµÀµÈ´©¹ýÖÎÁÆÊÒÇ½ÃæµÄ¿×µÀÓ¦±Ü¿ªÓÐÓÃÏßÊø¼°ÈËÔ±¾­³£×¤ÁôµÄ¿ØÖÆÌ¨£¬²¢²ÉÓû¡×´¿×¡¢Çú·»òµØ¹µ¡£
6 ʵʩ·ÅÉäÖÎÁƵķÀ»¤ÒªÇó
6.1 ·ÅÉäÖÎÁƵÄÕýµ±ÐÔÒªÇó
    ·ÅÉäÖÎÁƱØÐ뽨Á¢´¦·½¹ÜÀíÖÆ¶È£¬Ö»ÓоßÓÐ×ʸñµÄ´¦·½Ò½Ê¦²Å¿ÉÉêÇëXÉäÏßÖÎÁÆ¡£´¦·½Ò½Ê¦±ØÐë¸ù¾Ý²¡ÈË×´¿ö½øÐÐXÉäÏßÖÎÁƵÄÕýµ±ÐÔ·ÖÎöÓëÅжϣ¬±ÜÃâ²»Õýµ±µÄXÉäÏßÖÎÁÆ¡£
6.2 ÓÅ»¯ÖÎÁƼƻ®
6.2.1 ÔڶԼƻ®ÕÕÉäµÄ°ÐÌå»ýÊ©ÒÔËùÐèÒªµÄ¼ÁÁ¿µÄͬʱ£¬Ó¦Ê¹Õý³£×éÖ¯ÔÚ·ÅÉäÖÎÁÆÆÚ¼äËùÊܵ½µÄÕÕÉä±£³ÖÔڿɺÏÀí´ïµ½µÄ¾¡Á¿µÍµÄˮƽ¡£
6.2.2 ÓÅ»¯ÖÎÁƼƻ®Ó¦µ±°üÀ¨:·ÖÎö²¡ÈËÒѽøÐйýµÄ·ÅÉäÓë·Ç·ÅÉäÖÎÁÆ;°´ÕÕ²¡ÔîÌõ¼þÄⶨµ¥ÕÕÉäÒ°»òµþ¼ÓÕÕÉäÒ°¼°Ã¿¸öÕÕÉäÒ°¸øÓ벡Ôî×éÖ¯µÄ¼ÁÁ¿;ÖÎÁÆÕÕÉäÌõ¼þµÄѡȡ;²ÉÈ¡ÆÁ±Î¼°ºÏÀí¼Æ»®ÕÕÉäµÄ´ëÊ©±£»¤»¼ÕßµÄÕý³£×éÖ¯ÓëÖØÒªÆ÷¹Ù¡£
6.3 ·À»¤°²È«²Ù×÷ÒªÇó
    (1)²Ù×÷Õß±ØÐëÊìÁ·ÕÆÎÕ²¢ÑϸñÖ´ÐвÙ×÷¹æ³Ì¡£ÖØÒªµÄ°²È«²Ù×÷ÄÚÈݱØÐëÔÚÖÎÁÆ»ú¿ØÖÆÊÒÐÑÄ¿Ðü¹Ò¡£
    (2)·ÅÉäÖÎÁƲÙ×÷Õß±ØÐëÅå´ø¸öÈ˼ÁÁ¿¼Æ¡£ÖÎÁƹý³ÌÖУ¬²Ù×÷Õß±ØÐëʼÖÕ¼àÊÓ×Å¿ØÖÆÌ¨ºÍ»¼Õߣ¬²¢¼°Ê±ÅųýÒâÍâÇé¿ö¡£
    (3)²Ù×÷Õß²»µÃÉÃ×Ô²ð³ý·øÉ䰲ȫÓëÁªËøÉ豸¡£µ±Î¬ÐÞÐèҪʱ£¬±ØÐë¾­¹ý¸ºÔðÈËԱͬÒ⣬²¢ÔÚ¿ØÖÆÌ¨ÐÑÄ¿¸æÊ¾ÖÎÁÆ»úÕýÔÚάÐÞ¡£Î¬ÐÞºó¼°Ê±»Ö¸´°²È«ÓëÁªËøÉ豸£¬¼ìÑéÆä¿ØÖƹ¦ÄÜÕý³££¬²¢¾­¸ºÔðÈËԱȷÈϺó²Å¿É½øÐзÅÉäÖÎÁÆÕÕÉä¡£
    (4)50kVÒÔÉÏÖÎÁÆ»úÕÕÉäʱ£¬³ý»¼ÕßÍ⣬ÖÎÁÆÊÒÄÚ²»Ó¦ÓÐÆäËûÈËÔ±ÖÍÁô¡£
    (5)ʹÓÃ50kVÒÔÏÂÊÖ³ÖÖÎÁÆ»úʱ£¬²Ù×÷Õß±ØÐë´©´÷·À»¤ÊÖÌ׺Ͳ»Ð¡ÓÚ0.25mmǦµ±Á¿µÄΧȹ£¬²¢¾¡¿ÉÄÜÔ¶ÀëÖÎÁÆ»úµÄXÉäÏß¹Ü×é¼þ¡£
6.4 ÖÊÁ¿±£Ö¤µÄÒ»°ãÒªÇó
6.4.1 ·ÅÉäÖÎÁÆÓ¦Å䱸ÏàÓ¦µÄÖÎÁÆÒ½Ê¦¡¢ÎïÀíʦ¡¢¼¼ÊõÔ±µÈÓÐ×ʸñµÄÈËÔ±¡£
6.4.2 ·ÅÉäÖÎÁÆÓ¦½¨Á¢ÖÊÁ¿±£Ö¤¹ÜÀí×éÖ¯ºÍÖÆ¶¨ÖÊÁ¿±£Ö¤´ó¸Ù£¬½¨Á¢¶ÔʵʩÖÎÁƼƻ®µÄºË²éÖÆ¶È£¬ÍêºÃµØ±£´æÖÎÁƼǼ¡£
6.4.3 ·ÅÉäÖÎÁƱØÐë¾­³£¡¢¶¨ÆÚºË²éÖÎÁÆ»úµÄ·øÉäÊä³öÁ¿£¬±£ÕÏ»¼Õß°ÐÇø×éÖ¯Ëù½ÓÊܵÄÎüÊÕ¼ÁÁ¿Óë´¦·½¼ÁÁ¿Ö®¼äµÄÆ«²î²»´óÓÚ5%¡£
6.5 ÖÎÁÆ»úÖÊÁ¿¿ØÖƼì²âÒªÇó
6.5.1 ÿÈÕ·ÅÉäÖÎÁÆÇ°£¬Ó¦¼ìÑéÕÕÉäµÄÆô¶¯¡¢ÖÕÖ¹¼°ÆäÏàÓ¦µÄÕÕÉä״̬ÏÔʾÒÔ¼°ÖÎÁÆÊÒÃÅÁªËø¡£
6.5.2 ÖÎÁƵ¥Î»Ã¿ÖÜÓ¦¶ÔÖÎÁÆ»ú×éºÏÕÕÉäÌõ¼þ(µÚ4.5.4Ìõ)ºÍ½ô¼±ÖжÏÕÕÉäÉ豸(µÚ4.3(4)ºÍ5.4Ìõ)½øÐÐʵÑé¼ì²é;Ó÷ÅÉäÖÎÁƼÁÁ¿²âÁ¿ÒǼìÑé·øÉäÊä³öÁ¿¡£
6.5.3 ÖÎÁÆ»úÉú²ú³§µÄÐÍʽÊÔÑéºÍ¹ÜÀí²¿ÃŶԶ¨ÐͲúÆ·µÄ¼ìÑé°´GB9706.10ºÍ±¾±ê×¼µÄÈ«²¿ÒªÇó½øÐмìÑé¡£
6.5.4 Óû§ÑéÊÕ¼ìÑéºÍ¹ÜÀí²¿ÃŶÔʹÓÃÖеÄÖÎÁÆ»úµÄÄê¶È¼ìÑé³ý½øÐеÚ6.5.1ºÍ6.5.2Ìõ¼ìÑéÍ⣬Ӧ¶Ô·øÉäÊä³öÁ¿µÄÖØ¸´ÐÔ¡¢ÏßÐÔºÍÖÎÁÆ»úµÄй©·øÉä(ÿ¶þÄêÒ»´Î)½øÐмìÑé¡£¼ìÑé·½·¨¼ûµÚ7Õ¡£´ËÍ⣬¶ÔµÚ4.5.2ºÍµÚ4.5.3Ìõ°²È«ÁªËøÓ¦½øÐÐÄ£ÄâʵÑéºË²é¡£
6.5.5 ÖÎÁÆ»ú¸ü»»XÉäÏ߹ܻòÆäËü´óÐÞºó£¬Î¬ÐÞ²¿ÃÅ¡¢Óû§ºÍ¹ÜÀí²¿ÃÅÓ¦¶ÔÓ°Ïìµ½µÄÖÎÁÆ»úÐÔÄÜÖ¸±ê½øÐÐÏàÓ¦µÄ¼ìÑé¡£
7 ¼ìÑé·½·¨
7.1 ÖÎÁÆ»úй©·øÉä¼ìÑé
7.1.1 ¼ì²âÌõ¼þÓëÒªÇó
    (1)±ØÐëÔÚËæ»úÎļþ¸ø¶¨µÄÖÎÁÆ»úÐÔÄÜÖ¸±ê·¶Î§ÄÚÄܵ¼ÖÂ×î´óй©·øÉäµÄÌõ¼þÏÂ(¼´¶î¶¨XÉäÏ߹ܵçѹºÍÏàÓ¦µÄ×î´ó¹ÜµçÁ÷)½øÐмì²â¡£¼ì²â½á¹û¿Û³ýÔ¤ÏȲⶨµÄ±¾µ×Öµ£¬²¢°´¹ú¼Ò·¨¶¨¼ÆÁ¿¼ì¶¨²¿ÃŶ¨ÆÚУ׼µÄϵÊýУÕýΪÒÔ"mGy/h"Ϊµ¥Î»µÄ¿ÕÆø±ÈÊͶ¯ÄÜÂÊ¡£
    (2)¼ì²âÒDZíµÄÄÜÁ¿ÏìÓ¦ºÍ²â¶Á·¶Î§Ó¦ÄÜÂú×ãÏàÓ¦²âÁ¿µÄÒªÇó¡£ÒDZíµÄ»ù±¾Îó²îӦСÓÚ15%£¬¼ì²âµÄÀ©Õ¹²»È·¶¨¶ÈӦСÓÚ30%¡£
    (3)¾àXÉäÏ߹ܽ¹µã1mλÖÃÉϵļì²â£¬±ØÐëÔÚÓëXÉäÏßÊøÖÐÐÄÖá´¹Ö±µÄ²âÁ¿Æ½ÃæÉϳ¤ÖáÏ߶Ȳ»´óÓÚ20cmµÄ100cm2Ãæ»ýÉÏȡƽ¾ùÖµ¡£
    (4)ÔÚµÚ4.1ÌõÖУ¬¾àÏàÓ¦±ß½ç20mmºÍ50mmµÄ¼ì²â£¬±ØÐëÔÚÓëXÉäÏßÊøÖÐÐÄÖá´¹Ö±µÄ²âÁ¿Æ½ÃæÉϳ¤ÖáÏ߶Ȳ»´óÓÚ4cmµÄ10cm2Ãæ»ýÉÏȡƽ¾ùÖµ¡£ÔÚ¼ì²âÒDZíʵ¼Ê´ï²»µ½ËùÒªÇóµÄλÖÃʱ£¬¿ÉÒÔÔÚ¾¡¿ÉÄܽӽüËùÒªÇóµÄ¾àÀëÉϽøÐмì²â£¬²¢½«Æä×÷ΪËùÒªÇóλÖõĽá¹û¡£
7.1.2 ÖÎÁÆ×´Ì¬ÏÂXÉäÏßÔ´×é¼þµÄй©·øÉä
    (1)XÉäÏß¹ÜÌ׵ķøÉäÊø³ö¿Ú±ØÐëÑÏÃܸ²¸ÇÆÁ±ÎÌ壬Æäºñ¶ÈÓ¦¶ÔÓÐÓÃÏßÊøÖáÉÏµÄ¿ÕÆø±ÈÊͶ¯ÄÜÂʾßÓв»ÉÙÓÚ106µÄË¥¼õ£¬Æä¼¸ºÎ³ß´ç²»µÃ³¬¹ý·øÉäÊø±ß½çÍâ5mm
    (2)¼ì²âµãÓ¦µ±°üÀ¨:ÒÔXÉäÏ߹ܽ¹µãΪÖÐÐÄ£¬ÓÐÓÃÏßÊøÖÐÐÄÖá¡¢XÉäÏ߹ܳ¤Öá¡¢Óë´Ë¶þÖá´¹Ö±µÄÖá×é³ÉÈýÎ¬×ø±êÌåϵ£¬Ã¿Á½ÌõÖáÏßÖ®¼äµÄ¼Ð½ÇΪ0¡ã¡¢45¡ã¡¢90¡ã¡¢135¡ã¡¢180¡ã¡¢225¡ã¡¢270¡ã¡¢315¡ãµÄ·½ÏòÉÏ£¬ÏàÓ¦µÚ4.1.1ÌõÖбí1¹æ¶¨µÄλÖá£
    (3)ÕÕÉäÌõ¼þͬµÚ7.1.1(1)Ìõ¡£¼ì²â¿ÉÒÔ²ÉÓÃÖ±½Ó¼ÁÁ¿Âʲâ¶Á»òÓɼÆÊ±ÀÛ»ý¼ÁÁ¿¼ÆËã¡£Ö±½Ó²â¶ÁӦʹÓÿÉÔÚÔ¶¾àÀë²â¶ÁµÄ¼ÁÁ¿ÂÊÒDZí¡£ÀÛ»ý¼ÁÁ¿¿ÉÒÔʹÓÃÈÈÊ͹â¼ÁÁ¿¼Æ»ò»ý·Ö¼ÁÁ¿¼Æ¡£
    (4)ÆÀ¼Û±ê×¼:¼ûµÚ4.1.1ÌõÖбí1¡£
7.1.3 ·ÇÖÎÁÆ×´Ì¬ÏÂXÉäÏßÔ´×é¼þµÄй©·øÉäºÍ·ÇÓÐÓ÷øÉä
    (1)ÖÎÁÆ»úÔÚµÚ7.1.1(1)ÌõµÄÌõ¼þÏÂÕÕÉ䣬ÔÚÖÕÖ¹ÕÕÉäºóѸËÙÔÚµÚ4.1.2Ìõ¹æ¶¨µÄλÖÃÒÔ¿ÕÆø±ÈÊͶ¯ÄÜѲ²âÒDZíÖ±½Ó²â¶Á¡£
    (2)ÆÀ¼Û±ê×¼:¼ûµÚ4.1.2Ìõ¡£
7.1.4 ¿ÉжʽÏÞÊøÆ÷µÄй©·øÉä
    (1)¶ÔÓëÖÎÁÆ»úÅäÌ×µÄËùÓпÉжʽÏÞÊøÆ÷ÖðÒ»¼ìÑé¡£
    (2)¶Ô¿Éµ÷ÏÞÊøÆ÷£¬²âÁ¿Ó¦ÔÚÕÕÉäÒ°¸÷¹æ¶¨µÄµ÷½ÚλÖÃÉϽøÐС£
    (3)жÏÂÏÞÊøÆ÷Ô¶¶ËµÄ͸·øÉäÇúÃæ¶Ë¸Ç£¬²¢½«ÏÞÊøÆ÷Ö±½Ó½Óµ½XÉäÏß¹Ü×é¼þÉÏ¡£
    (4)ÔÚÓëµÚ7.1.1(1)ÌõÏàÓ¦²¢¾ßÓй涨µÄ×î´óË¥¼õ¹ýÂ˵ÄÕÕÉäÌõ¼þϼì²â¡£
    (5)ÔÚÏÞÊøÆ÷Ô¶¶Ë³ö¿Ú´¦ÕÕÉäÒ°¼¸ºÎÖÐÐÄλÖ㬲âÁ¿¿ÕÆø±ÈÊͶ¯ÄÜÂÊ¡£²âÁ¿·½·¨Í¬µÚ7.1.2(3)Ìõ¡£
    (6)ÒÔ¶ÔÓÐÓÃÏßÊøÖÐÐÄÖáÉÏµÄ¿ÕÆø±ÈÊͶ¯ÄÜÂʾßÓв»ÉÙÓÚ104Ë¥¼õµÄƽÕûǦ°åÑÏÃܸ²¸ÇÏÞÊøÆ÷³ö¿Ú¡£Ç¦°åµÄÐÎ×´Óë³ö¿Ú´¦ÕÕÉäÒ°µÄÐÎ×´Ïàͬ£¬¼¸ºÎ³ß´ç·ûºÏµÚ4.1.3Ìõ±í2µÄÒªÇó¡£
    (7)ÔÚµÚ4.1.3Ìõ±í2ÒªÇóµÄǦ°åµÄÍâ²àÆ½ÃæÉÏ£¬¾àǦ°å±ßÔµ20mm ´¦£¬ÒÔÈÈÊ͹â¼ÁÁ¿¼Æ¼ì²âÏÞÊøÆ÷µÄй©·øÉ䣬¼ÆËã¼ì²âµãµÄй©·øÉä¿ÕÆø±ÈÊͶ¯ÄÜÂÊ¡£¶ÔÓÚÔ²ÐÎÏÞÊøÆ÷¾ùÔÈѡȡ°Ë¸ö¼ì²âµã¡£¶ÔÓÚ¾ØÐÎÏÞÊøÆ÷£¬ÑØÃ¿Ìõ±ßѡȡÏàÓ¦±ßÏß³¤¶È1/4¡¢1/2¡¢3/4λÖõÄÈý¸ö¼ì²âµã¡£
    (8)¼ÆËã±¾Ìõ(7)Óë(5)µÄ±ÈÖµ£¬°´µÚ4.1.3Ìõ±í2ÆÀ¼Û¡£
7.1.5 ³ýXÉäÏßÔ´×é¼þÍâÆäÓಿ¼þµÄ·øÉä
    (1)ÆäÓಿ¼þͨ³£Ö¸¸ßѹ·¢ÉúÆ÷¡£
    (2)ÕÕÉäÌõ¼þͬµÚ7.1.1(1)Ìõ¡£ÒÔ¿ÕÆø±ÈÊͶ¯ÄÜÂÊѲ²âÒÇÔÚµÚ4.1.4ÌõÒªÇóµÄλÖÃÖ±½ÓɨÃè²âÁ¿¡£
    (3)ÆÀ¼Û±ê×¼¼ûµÚ4.1.4Ìõ¡£
7.2 ÀÛ»ý·øÉäÊä³öÁ¿µÄÖØ¸´ÐÔ¡¢ÏßÐÔ¼ìÑé
7.2.1 ¼ì²âÌõ¼þÓëÒªÇó
    (1)ͨÓÃʵÑéÌõ¼þͬGB9706.10µÚ50.101Ìõ¡£
    (2)¼ìÑéÓõĵçÀëÊÒ¼ÁÁ¿¼ÆÓ¦·ûºÏ¹¤×÷¼¶¼ÁÁ¿¼ÆµÄÒªÇó¡£
    (3)ËùÓеļì²â½á¹û¶¼±ØÐë¿Û³ýÔ¤ÏȲâ¶ÁµÄ±¾µ×Öµ¡£³ýÏà¶Ô²âÁ¿¶øÍ⣬¼ì²â½á¹û¶¼±ØÐë°´¼ì²âʱ¿ÌµçÀëÊÒËùÔÚλÖõĻ·¾³Î¶ÈÓë´óÆøÑ¹Ç¿Ð£ÕýÖÁ±ê×¼Ìõ¼þ(2O¡æ£¬101.3kPa)£¬²¢°´¹ú¼Ò·¨¶¨¼ÆÁ¿¼ì¶¨²¿ÃŶ¨ÆÚ¿Ì¶ÈµÄϵÊýת»»ÎªÏàÓ¦"SI"µ¥Î»µÄÁ¿Öµ¡£²â¶¨µÄ²»È·¶¨¶ÈӦСÓÚ3%¡£
7.2.2 Éú²ú³§ÐÍʽÊÔÑé
    ¼ìÑé·½·¨ÓëÆÀ¼ÛͬGB9706.10-1997µÚ50.2ÌõºÍµÚ50.101-50.104Ìõ¡£
7.2.3 ÆäËüÑéÊÕ¼ìÑéºÍ״̬¼ìÑé
    ÔÚµçÔ´µçѹΪ220VµÄ99-101%ºÍ×î³£ÓõÄÏÞÊøÆ÷¼°×ܹýÂË(¹ÌÓйýÂËÓ븽¼Ó¹ýÂ˵Ä×ܺÍ)µÄÌõ¼þÏ£¬°´ÏÂÊö·½·¨¼ìÑéÀÛ»ý·øÉäÊä³öµÄÖØ¸´ÐÔºÍÏßÐÔ¡£
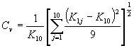
    (1)ÔڶXÉäÏ߹ܵçѹÌõ¼þϲâÁ¿ÀÛ»ýÕÕÉä´ïµ½0.2Âú¶ÈÖµµÄ¶ÁÊý¡£Öظ´²âÁ¿10´Î¡£¼ÆËãǰÎå´Î²â¶ÁµÄƽ¾ùÖµºÍÊ®´Î²â¶ÁÖµK1jµÄƽ¾ùÖµK10¼°ÆäÏà¶Ô±ê׼ƫ²îCv
                   ¡­¡­¡­¡­¡­¡­¡­¡­¡­¡­¡§(1)


    (2)¶î¶¨XÉäÏ߹ܵçѹÌõ¼þÏ£¬²âÁ¿ÀÛ»ýÕÕÉä´ïµ½0.05Âú¶ÈÖµµÄ¶ÁÊý£¬Öظ´²â¶Á5´Î£¬¼ÆËãÆ½¾ùÖµ¡£
    

    (3)ÔÚXÉäÏ߹ܵçѹΪ"½ÏµÍÖµ"(¼´50%¶î¶¨Öµ»ò¹æ¶¨µÄ×îµÍÖµ£¬È¡Ò»ÕßÖнϸߵÄ)ʱ£¬²âÁ¿ÀÛ»ýÕÕÉä´ïµ½0.05Âú¶ÈÖµºÍ0.2Âú¶ÈÖµµÄ¶ÁÊý¡£Öظ´²â¶Á5´Î£¬¼ÆËãÆ½¾ùÖµºÍ¡£


    (4)¼ÆËãÉÏÊö²â¶Á¾ùÖµÓëÔ¤ÖÃÖµQiµÄ±ÈÖµMi:

                    .................(2)


    (5)ÀÛ»ý·øÉäÊä³öÖØ¸´ÐÔʵÑéµÄÆÀ¼Û±ê×¼:Ïà¶Ô±ê׼ƫ²îCv²»³¬¹ý:
    0.03¡ª¶ÔÓڶXÉäÏ߹ܵçѹ´óÓÚ150kVµÄÖÎÁÆ»ú;
    0.05¡ª¶ÔÓڶXÉäÏ߹ܵçѹ²»´óÓÚ150kVµÄÖÎÁÆ»ú¡£
    (6)ÀÛ»ý·øÉäÊä³öÏßÐÔ¼ìÑéµÄÆÀ¼Û±ê×¼:
    £üM1-M2£ü¡Ü0.025£üM1+M2£üÇÒ£üM3-M4£ü¡Ü0.025£üM3+M4£ü

Ò½ÓÃXÉäÏßÖÎÁÆÎÀÉú·À»¤±ê×¼ µÄÏà¹Ø²úÆ·£º
  • REN500ÐÍÖÇÄÜ»¯¦Ö¡¢¦Ã·øÉäÒÇ

    ²úÆ·Ãû³Æ£ºREN500ÐÍÖÇÄÜ»¯¦Ö¡¢¦Ã·øÉäÒÇ

    ²úÆ·ÃèÊö£º      REN500ÐÍÖÇÄÜ»¯¦Ö¡¢¦Ã·øÉäÒDzÉÓøßÁéÃôµÄÉÁ˸¾§Ìå×÷Ϊ̽²âÆ÷,·´Ó¦ËÙ¶È¿ì, ºÍ¹úÄÚͬÀàÒÇÆ÷Ïà±È£¬¸ÃÒÇÆ÷¾ßÓиü¿íµÄ¼ÁÁ¿ÂʲâÁ¿·¶Î§¡£ ¸ÃÒÇÆ÷³ýÄܲâ¸ßÄÜ¡¢µÍÄܦÃÉäÏßÍ⣬»¹ÄܶԵÍÄÜXÉäÏß½øÐÐ׼ȷµÄ²âÁ¿£¬¾ßÓÐÁ¼ºÃµÄÄÜÁ¿ÏìÓ¦ÌØÐÔ¡£´ËÍâͨ¹ýÅäÌ×µÄRe

  • REN600AÐͦÁ¡¢¦Â¡¢¦ÃÉäÏß±íÃæÎÛȾÒÇ

    ²úÆ·Ãû³Æ£ºREN600AÐͦÁ¡¢¦Â¡¢¦ÃÉäÏß±íÃæÎÛȾÒÇ

    ²úÆ·ÃèÊö£ºREN600AÐͦÁ¡¢¦Â¡¢¦ÃÉäÏß±íÃæÎÛȾÒǼ´¿É¼ì²â¦Á¡¢¦Â¡¢¦ÃÉäÏߣ¬Ò²Äܼì²âµ½XÉäÏß,Ëü²ÉÓøßËÙǶÈëʽ΢´¦Æ÷×÷ΪÊý¾Ý´¦Àíµ¥Ôª£¬µãÕóʽ´óÆÁÄ»LCDÒº¾§ÏÔʾ£¬¶ÁÊýÇåÎú¡¢²Ù×÷·½±ã£¬¾ßÓÐ800Ìõ³¬´óÈÝÁ¿Êý¾Ý´æ´¢¡£ÒÇÆ÷²ÉÓýø¿ÚµÄ´óÃæ»ýMICA¸Ç¸ï̽²âÆ÷£¬¾ßÓнϸß̽²âЧÂÊ£¬¿É½øÐЦÁ¡¢¦Â·øÉä±íÃæÎÛȾ¼ì²âºÍX¡¢¦Ã·øÉä¼Á

  • REN500LÐÍ»·¾³¼à²âÓÃX¡¢¦Ã·øÉä¿ÕÆø±ÈÊͶ¯ÄÜÂÊÒÇ

    ²úÆ·Ãû³Æ£ºREN500LÐÍ»·¾³¼à²âÓÃX¡¢¦Ã·øÉä¿ÕÆø±ÈÊͶ¯ÄÜÂÊÒÇ

    ²úÆ·ÃèÊö£ºREN500L»·¾³¼à²âÓÃX¡¢¦Ã·øÉä¿ÕÆø±ÈÊͶ¯ÄÜÂÊÒDzÉÓó¬´ó³ß´ç¡¢¸ßÁéÃôµÄÉÁ˸¾§Ìå×÷Ϊ̽²âÆ÷,·´Ó¦Ëٶȿ졣Ö÷»úÄÚÖÃ̽²âÆ÷ʹµÃÕû»úÓиü¿íµÄ²âÁ¿·¶Î§¡£ÒÇÆ÷Âú×ã¡¶»·¾³µØ±í¦Ã·øÉä¼ÁÁ¿Âʲⶨ¹æ·¶¡·ÖеͼÁÁ¿²¿·ÖµÄÒªÇ󡣸ÃÒÇÆ÷³ýÄܲâ¸ßÄÜ¡¢µÍÄܦÃÉäÏßÍ⣬»¹ÄܶԵÍÄÜXÉäÏß½øÐÐ׼ȷµÄ²âÁ¿£¬¾ßÓÐÁ¼ºÃµÄÄÜÁ¿ÏìÓ¦ÌØÐÔ¡£´ËÍâͨ¹ý

  • REN500BÐÍÖÇÄÜ»¯X¡¢¦Ã·øÉäÒÇ

    ²úÆ·Ãû³Æ£ºREN500BÐÍÖÇÄÜ»¯X¡¢¦Ã·øÉäÒÇ

    ²úÆ·ÃèÊö£º   REN500BÐÍÖÇÄÜ»¯§ç-¦Ã·øÉäÒÇÊǼà²â¸÷ÖÖ·ÅÉäÐÔ¹¤×÷³¡Ëù§ç¡¢¦ÃÉäÏß·øÉä¼ÁÁ¿ÂʵÄרÓÃÒÇÆ÷¡£¸ÃÒÇÆ÷¾ßÓнϴóµÄ¼ÁÁ¿ÂʲâÁ¿·¶Î§ºÍÄÜÁ¿ÏìÓ¦ÌØÐÔ¡£´ËÍâͨ¹ýÅäÌ×µÄRenRiRate¼ÁÁ¿ÂʹÜÀíÈí¼þ¿É½«´æ´¢µÄÊý¾Ý¶Á³öºó·ÖÎö¡£¸ÃÒÇÆ÷¹ã·ºÓÃÓÚÎÀÉú¡¢»·±£¡¢Ò±½ð¡¢Ê¯ÓÍ¡¢»¯¹¤¡¢Ò½Ôº¡¢¼ÓËÙÆ÷¡¢¹¤ÒµÌ½ÉË

  • REN600ÐͦÁ¡¢¦Â±íÃæÎÛȾ²âÁ¿ÒÇ

    ²úÆ·Ãû³Æ£ºREN600ÐͦÁ¡¢¦Â±íÃæÎÛȾ²âÁ¿ÒÇ

    ²úÆ·ÃèÊö£º  REN600B¦Á¡¢¦Â±íÃæÎÛȾ¼ì²âÒDzÉÓÃÉÁ˸̽²â·¨£¬ÓÃÀ´¼ì²â·ÅÉäÐÔ¹¤×÷³¡ËùºÍʵÑéÊҵŤ×÷Ì¨Ãæ¡¢µØ°å¡¢Ç½Ãæ¡¢ÊÖ¡¢Ò·þ¡¢Ð¬µÈ±íÃæÊܦÁ»ò¦Â(¦Ã)·ÅÉäÐÔÎÛȾµÄ³Ì¶È£¬Ò²¿É¶ÔÃÜ·âÐͦÁ¡¢¦ÂÍ¬Î»ËØÐ¹Â©Ë®Æ½½øÐмì²â¡£ÒÇÆ÷¾ßÓнϸߵÄ̽²âЧÂÊ£»´ËÍâͨ¹ýÅäÌ×µÄ RenRiRate·øÉä¼ÁÁ¿¹ÜÀíÈí¼þ¿É½«´æ´¢µÄÊý¾Ý¶Á

  • REN-3He-NÐÍÖÐ×ÓÖÜΧ¼ÁÁ¿µ±Á¿ÂÊ̽ͷ

    ²úÆ·Ãû³Æ£ºREN-3He-NÐÍÖÐ×ÓÖÜΧ¼ÁÁ¿µ±Á¿ÂÊ̽ͷ

    ²úÆ·ÃèÊö£º       RENϵÁÐÖÇÄÜ»¯·øÉä̽ͷ¾ù¿ÉºÍREN300¡¢REN300A¡¢REN300BϵÁÐÖ÷»úÅäÌ×ʹÓÃ,Ò²¿ÉÒÔµ¥¶ÀÅäÌ×RenRiArea·øÉäÇøÓò¼à²âÈí¼þʹÓá£ÇÒ¾ßÓÐRS485/RS232µÄͨѶÄÜÁ¦¡£ËùÓÐ̽ͷ¾ù¿Éµ¥¶ÀÍâ½Ó±¨¾¯µÆ£¬ÔÚ³¬ãÐÖµµÄÇé